Quick Answer
Curves in surveying are essential geometric features introduced to allow gradual changes in road or rail direction and elevation. These curves prevent sudden turns or steep grade transitions, which can lead to discomfort or accidents. Depending on the alignment and terrain, curves are classified into horizontal or vertical types, with subcategories such as simple circular, compound, reverse, and transition curves. Each serves a unique role in enhancing the safety, comfort, and function of transportation infrastructure.
- Horizontal curves adjust direction in the plan view (like road bends).
- Vertical curves manage elevation changes (like hilltops or valleys).
- Transition curves ease the shift between straight and circular paths.
- Superelevation and widening are key design considerations for curves.
- Correct curve selection boosts safety, ride quality, and visual guidance.
Understanding these curve types is critical for civil engineers aiming to design efficient, safe, and long-lasting infrastructure. Let’s explore it further below.
WWhat Are Curves in Advanced Surveying?
In advanced surveying, curves refer to the non-linear segments integrated into roads, railways, and other transport networks to provide smooth changes in alignment. These are designed using geometric principles to ensure a gradual transition between intersecting directions or slopes.
Curves accommodate topographical constraints, vehicle dynamics, and user comfort. Without them, abrupt turns or elevation changes would compromise safety and operational efficiency. Unlike straight paths, curved alignments require additional considerations like centrifugal force, speed control, and visibility.
Real-world example: In hilly terrain, railway engineers use vertical curves to blend slopes smoothly, ensuring train engines can maintain traction and passengers experience a gentle ride.
Why Curves Are Introduced in Highway and Railway Design
Curves are not just aesthetic additions; they’re vital for functionality and safety. When two tangents (straight lines) or two gradients (slopes) intersect, a curve enables a smooth connection rather than a harsh angle.
Key reasons for using curves:
- Safety at Intersections: Curves allow drivers to change direction safely at high speeds.
- Improved Sight Distance: They prevent visual obstructions at bends.
- Passenger Comfort: Gradual transitions reduce jerk and motion sickness.
- Topographical Adjustment: Curves help navigate around hills, rivers, or property boundaries.
- Cost-Efficiency: Avoids expensive land or protected sites.
- Structural Integration: Helps utilize existing infrastructure like bridges or tunnels.
For example, if a new railway needs to connect to an old bridge built at a skew angle, a compound curve might be introduced to transition from the new track alignment to the old one.
Factors to Consider When Designing Curves
Designing a curve involves far more complexity than aligning two straight lines. Engineers must account for multiple parameters to ensure safety, efficiency, and structural soundness.
Primary factors include:
| Factor | Description |
|---|---|
| Design Speed | Determines minimum curve radius and superelevation required. |
| Centrifugal Force | Influences lateral stability; countered by banking (superelevation). |
| Superelevation | The outer edge is raised to offset vehicle sliding due to turning forces. |
| Extra Width | Wider lanes on curves accommodate vehicle off-tracking. |
| Sight Distance | Longer visibility is necessary on curves to avoid collisions. |
| Terrain Topography | Hilly or flat terrain affects curve choice and design complexity. |
Example: On a mountain highway, reducing the curve radius too much could lead to a sharp bend, which may require excessive superelevation and increase rollover risk. Instead, a longer, gentler transition curve can reduce hazards.
Classification of Curves in Surveying
Curves in surveying are broadly categorized into two main types:
- Horizontal curves – Applied in the horizontal (plan) layout to change direction.
- Vertical curves – Applied in elevation profile to change slope or grade.
Each category includes multiple subtypes:
| Curve Type | Description |
|---|---|
| Simple Circular | Single radius curve between two tangents |
| Compound Curve | Multiple arcs with different radii in the same direction |
| Reverse Curve | Two arcs in opposite directions, connected with a tangent |
| Transition Curve | Gradual radius change from straight to circular |
| Broken-Back Curve | Two curves joined by a short tangent segment |
| Sag Curve | Vertical curve dipping down (valley) |
| Summit Curve | Vertical curve peaking up (hilltop) |
Each serves a distinct purpose in adapting to terrain, managing speed transitions, and enhancing structural continuity.
Horizontal curves
A horizontal curve is a curve that is provided in the horizontal plane for joining two intersecting alignments. A horizontal curve is used to provide a gradual change in the direction of the centerline of the road. The minimum radius of the horizontal curve depends upon the permissible design speed of the highway.
Types of Horizontal Curves
- Simple Circular Curve
- Consists of a single arc with a constant radius.
- Used where there is ample space and minimal directional change.
- Example: Rural roads with low to moderate traffic.
- Compound Curve
- Formed by joining two or more circular curves of different radii, turning in the same direction.
- Useful in constrained topography, where space limits larger-radius curves.
- Seen in railway alignments that need to match legacy layouts.
- Reverse Curve (Ogee)
- Two curves bending in opposite directions, connected by a tangent.
- Common in urban roads and rail corridors where land availability restricts large-radius arcs.
- Example: Connecting two parallel roads in opposite directions.
- Transition Curve
- A curve whose radius changes gradually, easing the shift from a straight path to a circular curve.
- Designed for high-speed travel to reduce jerk and improve steering control.
- Often seen on highways and expressways.
- Broken-Back Curve
- Two circular curves joined by a short straight section.
- Rarely used today due to safety and comfort concerns.
- Historical use: Rail tracks in early industrial regions.
Simple circular curve
A simple circular curve is a curve that consists of a single arc of uniform radius for connecting two tangents. These types of curves are generally provided where two alignments can be joined with a large radius. These types of curves are suitable for slow-moving vehicles.

Compound curve
The compound curve consists of two or more arcs with different radii which turn in the same direction. The arcs of the compound curve lie on the same side of their common tangent. Similarly, the centers of those arcs lie on the same side of their common tangent.

Reverse curve
The reverse curve consists of two simple circular curves with the same or different radius that bends in opposite directions. The centers of those two simple circular types of curves will lie on the opposite side of the curve. Those two simple curves have a common tangent. The other name of this curve is the ogee curve or serpent curve. These types of curves are provided for connecting two parallel directions.

Applications of Horizontal Curves
| Curve Type | Common Uses |
|---|---|
| Simple Circular | Two-lane rural highways |
| Compound Curve | Mountain roads, old city streets |
| Reverse Curve | City grids, access ramps |
| Transition Curve | Expressways, railway switch zones |
| Broken-Back Curve | Historical railway alignments |
Superelevation and extra widening are typically applied in horizontal curves to balance centrifugal forces and prevent vehicles from skidding outward.
Transition curve
A transition curve is a curve having a variable radius value. The radius of this type of curve gradually changes from a finite value to an infinite value or vice versa. This curve is also known as the easement curve.
Why Transition Curves Matter
- Prevent sudden lateral acceleration
- Improve passenger comfort by minimizing abrupt directional change
- Facilitate gradual application of superelevation
- Allow for road widening at curve entry
Common Transition Curve Types
| Curve Type | Description |
|---|---|
| Clothoid (Euler’s Spiral) | Ideal curve; curvature increases linearly with length |
| Cubic Spiral / Parabola | Approximate transition curves used in railways |
| Bernoulli’s Lemniscate | Satisfies ideal curvature transition; often used in highways |
Clothoid Example: Used in modern highways for entry ramps where vehicles transition from straight sections into curved paths at speed.
Cubic Parabola Example: Frequently applied in railway tracks for easier field layout using chainages and offsets.
Functions of Transition curve
- A transition curve is generally used to join a straight and a simple circular curve or two simple circular curves.
- To minimize superelevation and the discomfort of passengers, these types of curves are generally provided on both sides of circular curves.
- For introducing a gradual change from the tangent point to the circular curve and vice versa.
- To introduce the designed super elevation gradually at the starting of the curve.
- To enable the introduction of the extra widening of the road at the starting point of the curve.
Types of Transition curve
The transition curves are further classified into three types of curves:
- Bernoulli’s lemniscate curve
- Cubic spiral or clothoid or Euler’s spiral
- Cubic- parabola or Froude’s curve
Cubic spiral and Cubic parabola
These are not ideal transition curves. The method of laying out these curves is very easy. Cubic spiral and cubic parabola are extensively used in railways.
Clothoid
Clothoid is an ideal transition curve. The radius of the curvature is inversely proportional to the distance from the starting point of the curve.
Bernoulli’s lemniscate curve
Lemniscate curve fulfills the conditions to be an ideal transition curve. The rate of change of curvature of this curve is gradual. Lemniscate curves are extensively used in highways.

Ideal Transition curve
A curve is said to be an ideal transition curve if the rate of change of curvature is gradual.
Clothoid and Bernoulli’s lemniscate curve fulfills this requirement. Hence these two are known as ideal transition curves.
Broken-back curve
A broken back curve consists of two circular curves with the same or different radius joined with a short common tangent. In broken back curves the centre of those circular arcs lies on the same side. In earlier days these curves are used for railroad traffic. But as this curve is not suitable for high-speed traffic, nowadays they are not used.

Vertical curves
Vertical curves are provided at the intersections of different grades to connect them through a gradual change in gradients. Vertical curves round off the sharp angle of the intersecting gradients. Vertical curves also minimize the gradients to provide a minimum sight distance.
The shape of the vertical curves may be circular or parabolic. The parabolic shape is preferred because of the following reason.
- Longer sight distance because of the flatness at the top of the parabolic shape. Hence it reduces the possibility of accidents.
- Parabolic shapes provide the best riding qualities because of the uniform rate of change of grade.
Types of Vertical Curves
- Summit Curves (Convex Upward)
- Occur where an ascending gradient meets another ascending or descending gradient.
- Essential for maintaining visibility and preventing headlight blindness during night driving.
- Used in highway hill passes and overpasses.
- Sag Curves (Concave Upward or Valley Curves)
- Occur where a descending gradient meets another descending or ascending gradient.
- Provide smoother rides through dips and valleys.
- Often seen under bridges or through natural depressions.
Why Parabolic Curves Are Preferred
- Parabolic shapes ensure a uniform rate of grade change.
- Allow for maximum sight distance at curve apex.
- Improve safety by avoiding sudden vertical motion.
Real-World Use: Airport runway approaches use parabolic sag and summit curves to transition aircraft smoothly from ground level to elevation changes on the runway.
Sag curve or valley curve
Sag curves are the vertical curves having their convexity downwards. Sag curves are generally introduced when
- A negative grade meets a level stretch.
- A negative grade meets a milder negative grade.
- A negative grade meets a positive grade.
- A positive grade meets a steeper positive grade.

Summit curve
Summit curves are the vertical curves having their convexity upwards. Summit curves are generally introduced when
- A positive grade meets a level stretch.
- A positive grade meets a milder positive grade.
- A positive grade meets a negative grade.
- A negative grade meets a steeper negative grade.

What Are the Applications of Different Curve Types?
Circular Curves:
- Road Construction: Circular curves are extensively used in road design to accommodate vehicle turning radii and ensure smooth traffic flow.
- Railway Tracks: Curved sections in railway tracks allow trains to negotiate bends safely and efficiently.
Spiral Curves:
- Highways: Spiral curves are employed in highway design to transition smoothly between tangent sections and circular curves, reducing driver discomfort and enhancing safety.
- Canal Construction: Spiral curves facilitate gradual transitions in canal alignments, minimizing erosion and sedimentation.
Parabolic Curves:
- Bridge Approaches: Parabolic curves are often used in bridge approach design to provide gentle transitions between the bridge deck and the roadway, ensuring vehicle stability and ride comfort.
- Airport Runways: Parabolic curves in airport runway design help aircraft achieve optimal takeoff and landing trajectories, enhancing operational efficiency and safety.
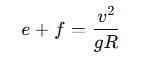
Superelevation in Road Design
Superelevation is the banking of a road or railway at curves to counteract the lateral (centrifugal) force exerted on moving vehicles. It enhances stability, reduces skidding, and increases comfort.
Key Components
- Rate of Superelevation (e): The vertical rise of the outer edge compared to the inner edge, expressed as a percentage or ratio.
- Maximum Superelevation: Varies by region and road classification; typically 6–10% in highways.
- Design Speed: Higher speeds require greater superelevation to counter centrifugal force.
Formula:
For roads,

Design Considerations
- Transition curves should introduce superelevation gradually.
- In cold climates, max superelevation is limited to reduce skidding on ice.
- Extra widening must accompany superelevation to accommodate off-tracking by longer vehicles.
Example: On a high-speed freeway curve (radius 400 m), superelevation of 6% with a coefficient of friction 0.15 would suffice for speeds up to 100 km/h.
Applications of Different Curve Types in Infrastructure
Curves aren’t just theoretical—they serve distinct, practical purposes across infrastructure systems. Each type of curve offers design advantages based on its geometry and curvature behavior.
1. Circular Curves
- Road Construction: Used to provide consistent turning radii at bends.
- Example: Simple circular curves are common on local roads and older highways.
- Railway Tracks: Employed to transition from one alignment to another while maintaining speed safety margins.
- Example: Heavy freight rail systems use large-radius circular curves for stability.
2. Spiral (Transition) Curves
- Highways: Reduce the discomfort from abrupt steering transitions.
- Example: Entry/exit ramps on expressways often use clothoid spirals.
- Canal Construction: Allow smoother water flow and limit erosion in irrigation and drainage systems.
3. Parabolic Curves
- Bridge Approaches: Sag and summit parabolas allow gentle elevation changes for vehicle control and comfort.
- Example: Overpasses and bridge connections in urban expressways.
- Airport Runways: Provide vertical curvature in approach paths to smooth aircraft landings and takeoffs.
Application Table
| Curve Type | Roadways | Railways | Aviation | Water Systems |
|---|---|---|---|---|
| Circular | Urban bends | Main line arcs | – | – |
| Spiral (Clothoid) | High-speed ramps | Track transitions | – | Canal alignments |
| Parabolic | Bridge/grades | Elevation shifts | Runway slope | Spillways |
By choosing the correct curve type, engineers ensure long-term safety and functional efficiency across transport modes.
Common Mistakes in Curve Design and How to Avoid Them
Despite the critical role of curves, design oversights are not uncommon. These mistakes can compromise safety, comfort, and long-term infrastructure resilience.
1. Undersized Radius
- Issue: Choosing a radius too small leads to sharp turns, increasing centrifugal force.
- Consequence: Higher risk of skidding or vehicle rollover.
- Solution: Follow minimum radius guidelines based on design speed and road class.
2. Inadequate Superelevation
- Issue: Insufficient banking fails to counteract lateral force.
- Consequence: Discomfort and risk of outward drift.
- Solution: Calculate superelevation using standard equations considering speed and radius.
3. Ignoring Transition Zones
- Issue: Abrupt switch between straight and curved sections.
- Consequence: Sharp steering input causes vehicle instability.
- Solution: Introduce transition curves (clothoid) to ensure gradual curvature change.
4. Poor Sight Distance
- Issue: Obstacles or topography reduce visibility through the curve.
- Consequence: Increased accident risk.
- Solution: Maintain adequate setback distances and trim vegetation regularly.
5. Misalignment Between Vertical and Horizontal Curves
- Issue: Combining a summit vertical curve with a tight horizontal bend.
- Consequence: Reduces visibility and reaction time.
- Solution: Ensure proper curve coordination in three dimensions.
These mistakes can often be avoided by combining field reconnaissance, simulation tools, and adherence to design manuals.
Do’s and Don’ts of Curve Design in Surveying
Effective curve implementation depends not only on calculations but also on project execution discipline. Below is a distilled list of best practices and missteps to avoid.
✅ Do’s
- Use high-precision instruments for layout and angle measurement.
- Validate terrain models using satellite imagery and LiDAR for accuracy.
- Consult design standards (AASHTO, IRC, Eurocodes) for curve parameters.
- Involve local stakeholders when curves impact access roads or structures.
- Schedule periodic inspections of curves post-construction for wear or misalignment.
❌ Don’ts
- Don’t use default radius values without context—terrain and use case matter.
- Don’t skip transition curves in high-speed zones.
- Don’t ignore drainage considerations at sag curves—puddling can degrade surface quality.
- Don’t assume visual curve matching is sufficient—survey data must verify design.
- Don’t overbank curves in icy climates—this can cause uncontrollable skidding.
A properly designed and monitored curve extends infrastructure life and reduces maintenance costs.
Expert Tips to Remember
Here are essential insights for engineers working on curve layout and construction:
- Transition curves are non-negotiable for design speeds above 50 km/h. They reduce shock loads and offer smoother superelevation rollout.
- Always design curves in 3D, accounting for both plan and profile alignment—especially for mountainous regions or multi-level junctions.
- Use minimum stopping sight distance (SSD) criteria as the basis for curve layout, not just design speed.
- Centrifugal force rises with the square of speed, so a small increase in design speed greatly impacts curve safety needs.
- Curve widening isn’t optional for multi-axle or long vehicles; off-tracking must be managed at design phase.
FAQs
1. What are the main types of curves in surveying?
The primary types are horizontal curves (simple circular, compound, reverse, transition, broken-back) and vertical curves (sag and summit). Each serves different alignment needs.
2. Why are transition curves important in highway and railway design?
They provide a smooth change in curvature and superelevation, reducing lateral shocks, improving comfort, and ensuring safe vehicle maneuvering at higher speeds.
3. How is superelevation determined in curve design?
It’s based on vehicle speed, curve radius, and friction. Engineers use the formula:

to balance centrifugal force with road banking and friction.
4. What’s the role of vertical curves in road construction?
Vertical curves ensure smooth transitions between different gradients, improving visibility and comfort, especially at hillcrests (summit) and depressions (sag).
5. When should engineers use compound curves?
Compound curves are best for tight spaces where a single-radius curve isn’t feasible. They allow flexibility while maintaining smooth alignment in constrained terrain.
6. Why are broken-back curves discouraged in modern projects?
They introduce a short tangent between two curves, causing sudden directional changes. This disrupts flow and is unsafe at higher speeds, so they’re mostly obsolete.
7. What’s the difference between clothoid and lemniscate curves?
Both are ideal transition curves. Clothoids offer linear curvature changes and are widely used on highways. Lemniscates provide a symmetrical design, mainly used in aesthetic or specific geometric conditions.
8. How do engineers ensure safe sight distance on curves?
They design curves with adequate radius and remove obstructions in the driver’s line of sight. Guidelines on stopping sight distance are also followed.
9. Can transition curves be used in railway engineering?
Yes. Railways use clothoids and cubic spirals to reduce wear on tracks and provide smoother transitions between straight and curved segments.
10. What tools improve accuracy in curve layout?
Modern survey tools include GPS, total stations, LiDAR, and CAD software. These technologies ensure precise calculation of curve geometry, alignment, and elevation.
Conclusion
Understanding the types of curves in surveying is essential for any engineer working on transportation or infrastructure projects. Curves allow for gradual, safe changes in direction and elevation, accommodating speed, comfort, and topographical challenges.
Horizontal curves manage plan alignments, while vertical curves control elevation changes. Transition curves bridge the gap between straight paths and sharp curves, ensuring smoother motion. Superelevation, curve widening, and proper sight distances are crucial design elements.
With the right type of curve and careful surveying, engineers can deliver roads and railways that are safer, more efficient, and better suited to their environments.
Key Takeaways
- Curves are essential in surveying to manage changes in direction and slope for road and rail projects.
- Horizontal curves handle plan view alignment; vertical curves manage elevation transitions.
- Transition curves ensure gradual curvature shifts and are critical for high-speed infrastructure.
- Superelevation and widening improve safety and comfort on curves by balancing lateral forces.
- Common curve types include circular, compound, reverse, transition (clothoid, lemniscate), summit, and sag.
- Modern tools and standards are vital to designing accurate and reliable curves.
